逆变电源是不间断电源、静止航空电源、新能源发电技术等许多设备的关键部件。许多场合都要求逆变器能输出失真度小的正弦波,因而消除谐波是逆变电源的基本要求之一。笔者拟采用单片机作为控制器,脉冲信号产生采用消谐PWM法,详细介绍其硬件、软件实现过程。
消谐PWM控制
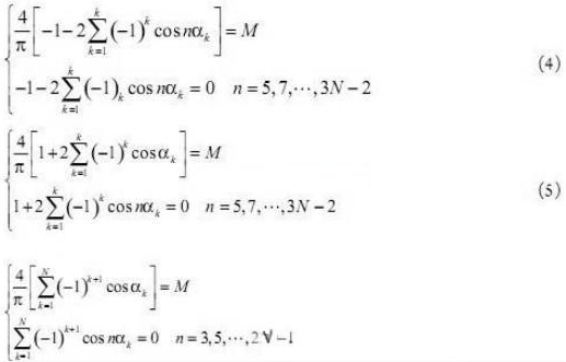
采用PWM控制技术的主要目的之一是为了解决逆变电源输出的谐波问题,高频PWM控制不仅可以有效地减小输出电压的谐波含量,而且可以方便地调节输出电压的大小。消谐控制的基本思想是:以PWM脉冲波形的切换点相位作为未知数,通过PWM脉冲的傅里叶级数分析,获得输出电压的基波分量和各次谐波分量的表达式,然后根据基波和各次谐波幅值的要求建立一个与未知数个数相等的方程组,通过求解方程组,获得各个脉冲的切换时刻,并按该时刻实施控制,则输出电压的基波和各次谐波幅值将会是期望值。一般情况下,总是令基波幅值为一个期望的非零值,而令各次谐波的大小为零,这样经过消谐PWM控制方程的逆变器将不含指定的低阶谐波值。

控制系统
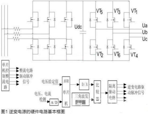
控制系统是按照给定信号的要求,控制并调节主电路开关管的开通与关断,从而控制主电路产生期望的输出电压,并使输出电压尽可能地跟随给定的电压信号。图1给出了逆变电源的硬件电路基本框图。触发脉冲的产生采用数字电路的方法,完全可以用控制器的软件程序来实现其功能,节约了成本,而且相比较于模拟电路,这种方法的抗干扰能力较强。
逆变电源的控制软件由主程序、定时器中断服务程序、外部中断服务程序三个部分组成。主程序用来初始化单片机的工作方式,从I/O口读入逆变电源期望输出频率给定值的编码,当给定输出频率发生变化时,其编码值会随之变化,此时修改频率变化标志,并在定时器中断服务程序按新的消谐PWM开关切换数据进行定时控制,实现驱动信号的切换。定时器中断服务程序主要完成对开关切换数据的定时控制,输出相应的开关管驱动信号,实现消谐PWM控制。外部中断服务程序主要实现逆变电源的故障保护功能,当故障中断请求发生时,单片机及时响应中断,在确认有故障发生时,封锁驱动信号,并输出故障代码。
直流电源_逆变电源_变频电源_UPS不间断电源_交直流电子负载_迅昌电力电子有限公司官网
该文章转自网络,如有侵犯到您的权益请联系我们及时删除。
Copyright © 迅昌电气 (上海) 有限公司&苏州迅昌电力电子有限公司 未经允许严禁复制本站图片及内容为商业利用,该网站资料更新可能滞后,仅供参考; 备案号: 沪ICP备2025145851号-1